Teoría asintótica para MCO

Irvin Rojas

MCO en forma matricial

Funciones de pérdida

Consideremos \(\hat{y}\), un predictor de \(y\) que es función de \(X\)

Definamos el error de la predicción como \[L(e)=L(y-\hat{y})\]

\(L(e)\) es la función de pérdida asociada al error \(e\)

Si \(y\) y \(\hat{y}\) son aleatorios, se busca minimizar la pérdida esperada \(E(L(e))\)

Si la función depende del vector \(X\) de dimensión \(k\), la pérdida esperada se puede escribir como \(L(e)=L(y-\hat{y}|X)\)

La función de pérdida típicamente usada es la del error cuadrático: \[min_{\hat{y}} E((y-\hat{y})^2)\]

Funciones de pérdida

En el caso general, no hacemos supuestos sobre la forma de la expectativa y la podemos estimar de forma no paramétrica

Comúnmente, se especifica una función \(E(y|X)=g(X,\beta)\)

El problema es escoger \(\beta\) que minimice la pérdida dentro de la muestra: \[\sum_{i=1}^{N}L(e_i)=\sum_{i=1}^{N}e_i^2=\sum_{i=1}^{N}(y_i-g(x_i,\beta))^2\]

Una forma particular es asumir que \(g(\cdot)\) es lineal en \(\beta\), es decir, \(E(y|X)=X\beta\)

Regresión lineal múltiple

Definiciones

  • \(N\) observaciones

  • \(y_i\) variable dependiente, escalar

  • \(x_i\) vector de \(k\) regresores, incluyendo el incercepto

\[x_i=\left(\begin{matrix} x_{i1} \\ x_{i2} \\ \vdots \\ x_{ik} \end{matrix}\right)\] El modelo lineal para la observación \(i\) es

\[y_i=\beta_1 x_{i1} + \beta_2 x_{i2} + \ldots + \beta_k x_{ik}+u_i\]

Regresión lineal múltiple

Definiciones

  • \(\beta\) es el vector de parámetros

\[\beta=\left(\begin{matrix}\beta_1 \\ \beta_2 \\ \vdots \\ \beta_k \end{matrix}\right)\] Escribimos el modelo de manera compacta

\[\begin{align}y_i&=\beta_1 x_{i1} + \beta_2 x_{i2} + \ldots + \beta_k x_{ik}+u_i\\&=x_i'\beta+u_i\end{align}\]

Regresión lineal múltiple

Definiciones

Podemos poner las \(y_i\) en un vector y las \(x_i\) en una matriz

\[Y=\left(\begin{matrix} y_1 \\ y_2 \\ \vdots \\ y_N \end{matrix}\right)\] \[X=\left(\begin{matrix} x_1' \\ x_2' \\ \vdots \\ x_N' \end{matrix}\right)\]

Nos referimos a \(\{(y_i,x_i), \quad i=1\ldots N\}\) como la muestra de tamaño \(N\)

Entonces \((Y,X)\) es la matriz de datos

Regresión lineal múltiple

Definiciones

Para un individuo:

\[\underbrace{y_i}_\text{escalar}=\overbrace{x_i'}^\text{vector de (k x 1)}\underbrace{\beta}_\text{vector de (k x 1)}+u_i\]

En forma matricial:

\[\underbrace{Y}_\text{n x 1}=\underbrace{X}_\text{(n x k)}\overbrace{\beta}^\text{(k x 1)}+\underbrace{u}_\text{n x 1}\]

El problema de MCO

El estimador de MCO se define como el estimador que minimiza la suma de errores cruadráticos

\[\sum_{i=1}^N u_i^2=u'u=(Y-X\beta)'(Y-X\beta)\] Desarrollando

\[\begin{align}u'u&=(Y-X\beta)'(Y-X\beta)\\&=Y'Y-Y'X\beta-(X\beta)'Y+(X\beta)'X\beta\\ &=Y'Y-Y'X\beta-\beta'X'Y+\beta'X'X\beta\\ &=Y'Y-\beta'X'Y-\beta'X'Y+\beta'X'X\beta\\&=Y'Y-2\beta'X'Y+\beta'X'X\beta\end{align}\]

La tercera línea usa el hecho de que para dos matrices \(A\) y \(B\) se cumple que \((AB)'=A'B'\)

La cuarta línea usa el hecho de que \(Y'X\beta\) es un escalar, por lo que \(Y'X\beta=(Y'X\beta)'=\beta'X'Y\)

El problema de MCO

Derivando con respecto a \(\beta\) e igualando a cero obtenemos

\[\frac{\partial u'u}{\partial \beta}=-2X'Y+2X'X\beta=0\]

\[\hat{\beta}_{MCO}=(X'X)^{-1}X'y\]

\(\hat{\beta}_{MCO}\) puede ser calculado si \(X'X\) es no singular

Una matriz \(A\) es singular si tiene determinante cero

Una matriz singular no es invertible

El problema cuando hay multicolinealidad es que \(X'X\) no puede ser invertida y, por tanto, \(\hat{\beta}_{MCO}\) no puede ser calculado

Revisión de teoría asintótica

Teoría asintótica

Basado en Cameron y Trivedi (2005) (CT), Apéndice A, secciones A1 - A6

Consideremos secuencias de variables aleatorias \(b_N\)

Queremos decir algo sobre \(b_N\) cuando \(N\to \infty\):

  • La convergencia en probabilidad de \(b_N\) a un límite \(b\) (una constante)

  • Si el límite \(b\) es en sí misma una variable aletoria, queremos conocer su distribución límite

En econometría pensamos las secuencias en términos de estimadores, que son regularmente funciones de sumas y promedios

Esto nos permite usar leyes de los grandes números y teoremas de límite central para derivar resultados sobre las características de estos estimadores

Convergencia de secuencias

\(\{a_N\}\) converge a \(a\) si para todo \(\varepsilon>0\) existe \(N^*=N(\varepsilon)\) tal que para \(N>N^*\), \(|a_N-a|<\varepsilon\)

Por ejemplo:

\[a_N=2+3/N\]

Converge a \(a=2\) pues \(|a_N-a|=3/N<\varepsilon \quad \forall \quad N>N^*=3/\varepsilon\)

Convergencia en probabilidad

Cuando tenemos una secuencia de variables aleatorias, no podemos estar seguros de que la diferencia estará siempre dentro del límite \(\varepsilon\)

Buscamos entonces que la probabilidad de estar en el límite de \(\varepsilon\) sea muy arbitrariamente cercana a uno

Una variable aleatoria \(\{b_N\}\) converge en probabilidad a \(b\) si para todo \(\varepsilon\) y \(\delta>0\) existe \(N^*=N*(\varepsilon, \delta)\) tal que:

\[Pr(|b_n-b|<\varepsilon) > 1-\delta\] La notación más usada es escribir \(p\lim b_n=b\) o \(b_n\xrightarrow{p}b\), donde \(b\) puede ser una constante o una variable aleatoria

Consistencia de estimadores

Sea \(\{b_N\}\) una secuencia de parámetros estimados \(\hat{\theta}\)

Un estimador \(\hat{\theta}\) es consistente para \(\theta_0\) si:

\[p\lim \hat{\theta}=\theta_0\]

Si un estimador es insesgado no implica que sea consistente

Un estimador insesgado permite variabilidad alrededor de \(\theta_0\) que puede no desaparecer cuando \(N\to \infty\)

Si un estimador es consistente no implica que sea insesgado

Contraejemplo: sumar \(1/N\) a un estimador insesgado y consistente

El nuevo estimador será sesgado pero consistente

Teorema de Slutsky

Sea \(b_N\) un vector de dimensión finita y \(g(\cdot)\) una función real y continua en un vector \(b\), entonces:

\[b_n \xrightarrow{p}b \implies g(b_N)\xrightarrow{p}g(b)\] Por ejemplo, si \(p\lim(b_{1N},b_{2N})=(b_1,b_2)\), entonces \(p\lim(b_{1N} b_{2N})=(b_1 b_2)\)

Leyes de grandes números (LGN)

Las LGN son teoremas de convergencia en probabilidad cuando \(\{b_N\}\) es un promedio muestral, \(b_N\equiv \bar{X}_N\)

Son teoremas para establecer el límite de una secuencia \(\{b_N\}\) en vez de usar fuerza bruta y aplicar la definición

\(X_i\) aquí representa una variable aleatoria, no necesariamente “las \(X\)” en una matriz de datos (podría ser \(X_i=x_iu_i\))

Una ley de grandes números débil: especifica las condiciones sobre los \(X_i\) en \(\bar{X}_N\) para que

\[(\bar{X}_N-E(\bar{X}_N))\xrightarrow{p}0\]

Una LGN débil implica que \(p\lim\bar{X}_N=\lim E(\bar{X}_N)\)

Y si los \(X_i\) tienen una media común, entonces \(p\lim\bar{X}_N=\mu\)

Leyes de grandes números (LGN)

LGN de Khinchine

Si \(\{X_i\}\) son iid y \(E(X_i)\) existe, entonces \((\bar{X}_n-\mu \xrightarrow{p}0)\)

LGN fuertes

Relajan las condiciones sobre \(X_i\) para casos más generales

Ver apéndice en CT

Por ejmpelo, la LGN de Kolmogorov o la de de Markov

Leyes de grandes números (LGN)

En resumen, si una LGN se puede aplicar:

\[ \begin{aligned} p\lim \bar{X}_N&=\lim E(\bar{X}_N) \quad \text{en general} \\ &=\lim N^{-1}\sum_{i=1}^N E(X_i) \quad \text{si $X_i$ independientes} \\ &=\mu \quad \text{si las $X_i$ son iid} \end{aligned} \]

Convergencia en distribución

Dada la consistencia, \(\hat{\theta}\) tiene una distribución degenerada que se colapsa a \(\theta_0\)

No podríamos hacer inferencia estadística

Pero si reescalamos (hacemos más grande) \(\hat{\theta}\), podemos obtener una variable aleatorio con distribución no degenerada

Una secuencia \(\{b_N\}\) converge en distribución a la variable \(b\) si \(\lim_{N\to\infty} F_N= F\)

donde \(F\) es la función de distribución acumulada (cdf) de \(b\) en todo punto donde \(F\) es continua

Esto también se escribe como \(b_N\xrightarrow{d}b\) y a \(F\) se le conoce como la distribución límite de \(\{b_N\}\)

Puede ser que \(F_N\) sea muy complicada pero \(F\) puede ser una función de la que conocemos sus propiedades (por ejemplo, una normal estándar)

Teorema del mapeo continuo

Sea \(b_N\) un vector de dimensión finita y sea \(g(\cdot)\) una función real y continua:

\[b_N\xrightarrow{d}b \implies g(b_N) \xrightarrow{d}g(b)\]

Teorema de transformación

Sea \(a_N\xrightarrow{d}a\) y \(b_N\xrightarrow{p}b\), donde \(a\) es una variable aleatoria y \(b\) una constante, entonces se cumple que

  1. \(a_N+b_N \xrightarrow{d}a+b\)

  2. \(a_N b_N \xrightarrow{d}ab\)

  3. \(a_N/b_N\xrightarrow{d}a/b\)

Es decir, podemos decir algo sobre objetos potencialmente complejos (como productos o cocientes) si sabemos algo de sus partes

Podemos enfocarnos en obtener la distribución límite de \(a_N\) y la probabilidad límite de \(b_N\)

Regla del límite normal del producto

Para un vector \(a_N\) y una matriz \(H_N\) si

  • \(a_N \xrightarrow{d} \mathcal{N}(\mu,A)\)

  • \(H_N\xrightarrow{p}H\), donde \(H\) es positiva definida

Entonces \(H_N a_N \xrightarrow{d}\mathcal{N}(H\mu,HAH')\)

Teoremas del límite central (TLC)

Son teoremas de convergencia en distribución cuando \(\{b_N\}\) es una media muestral

Por una LGN \(b_N\) tiene una distribución degenerada que converge a una constante

Primero reescalamos definiendo

\[ b_N\equiv Z_N=\frac{\bar{X}_N-E(\bar{X}_N)}{\sqrt{V(\bar{X}_N)}}\sim(0,1) \] Un TLC da condiciones sobre las \(X_i\) en \(\bar{X}_N\) para que

\[ Z_N\xrightarrow{d}\mathcal{N}(0,1) \]

Teoremas del límite central (TLC)

Cabe notar que si \(\bar{X}_N\) satisface un TLC, entonces también \(h(N)\bar{X}_N\) lo satisface

Por ejemplo, con \(h(N)=\sqrt{N}\), podemos definir

\[ Z_N=\frac{h(N)\bar{X}_N-E(h(N)\bar{X}_N)}{\sqrt{V(h(N)\bar{X}_N)}}\]

En la mayoría de los casos, se usan los TLC a la versión normalizada de \(\bar{X}_N\), es decir, \(\sqrt{N}\bar{X}_N=N^{-1/2}\sum_{i=1}^N X_i\) porque \(V(h(N)\bar{X}_N)=V(\sqrt{N}\bar{X}_N)\) es finita

Teoremas del límite central (TLC)

TLC de Lindeberg-Levy

Sea \(\{X_i\}\) iid con \(E(X_i)=\mu\) y \(V(X_i)=\sigma^2\), entonces

\[ Z_N=\frac{\sqrt{N}(\bar{X}_N-\mu)}{\sigma}\xrightarrow{d} \mathcal N(0,1) \]

Que también aparece frecuentemente como

\[\frac{\bar{X}_N-\mu}{\sigma / \sqrt{N}}\xrightarrow{d}\mathcal{N}(0,1)\]

O de manera equivalente:

\[\sqrt{N}(\bar{X}_N-\mu)\xrightarrow{d} \mathcal{N}(0,\sigma^2)\]

Teoremas del límite central (TLC)

TLC multivariado

Sea un vector \(\bar{X}_N\) con media \(\mu_N\) y varianza \(V_N\) tal que \(\bar{X}_N\sim(\mu_N,V_N)\)

Reescalando, podemos definir:

\[Z_N=V_N^{-1/2}(b_N-\mu_N)\sim(\mathbf{0},I)\]

Un TLC multivariado da condiciones sobre \(X_i\) en \(\bar{X}_N\) para que

\[Z_N\xrightarrow{d}\mathcal{N}(\mathbf{0},I)\]

Distibución de \(\beta_{MCO}\)

Consistencia

Consideremos el proceso generador de datos \(Y=X\beta+u\)

\[ \begin{aligned} \hat{\beta}_{MCO}&=(X'X)^{-1}X'Y \\ &=(X'X)^{-1}X'(X\beta + u) \\ &=(X'X)^{-1}X'X\beta+(X'X)^{-1}X'U \\ &=\beta+(X'X)^{-1}X'u \end{aligned} \]

Reescalando:

\[\hat{\beta}_{MCO}=\beta+(N^{-1}X'X)^{-1}N^{-1}X'u\] Noten que \(N^{-1}X'X=N^{-1}\sum_{i=1}^{N}x_ix_i'\) es un promedio

Si \(x_ix_i'\) permite aplicar una LGN, entonces el promedio converge en probabilidad a una matriz finita distinta de \(\mathbf{0}\)

Consistencia

Si una LGN puede aplicarse, entonces usando el Teorema de Slutsky:

\[p\lim \hat{\beta}_{MCO}=\beta+(p\lim N^{-1}X'X)^{-1}(p\lim N^{-1}X'u)\]

Entonces \(\hat{\beta}_{MCO}\) es consistente para \(\beta\), es decir, \(p\lim\hat{\beta}_{MCO}=\beta\) si \(p\lim N^{-1}X'u=0\)

Si se puede aplicar una LGN al promedio \(N^{-1}X'u=N^{-1}\sum_ix_iu_i\) , una condición necesaria es que \(E(x_iu_i)=0\)

Esta es la condición sobre los errores que enumerábamos en nuestra lista de supuestos en los cursos básicos de econometría

Es la condición clave para la consistencia

Distribución límite

Dada la consistencia del estimador de MCO,la distribución límite de \(\hat{\beta}_{MCO}\) tiene toda su masa en \(\beta\)

Podemos reescalar multiplicando por \(\sqrt{N}\), lo que nos permite obtener una variable aleatoria con varianza distinta de cero y asintóticamente finita:

\[\sqrt{N}(\hat{\beta}_{MCO}-\beta)=(N^{-1}X'X)^{-1}N^{-1/2}X'u\]

Sabemos que \(p\lim(N^{-1}X'X)\) existe y es una matriz finita distinta de \(\mathbf{0}\)

Si se puede aplicar un TLC, \(N^{-1/2}X'u\) tendrá una distribución con matriz de covarianzas no singular y finita

Por la regla del límite normal del producto \((N^{-1}X'X)^{-1}N^{-1/2}X'u\) tendrá una distribución límite normal

Distribución del estimador de MCO (Proposición 4.1 en CT)

Supuestos: 1. El proceso generador de datos es \(y=X\beta+u\) 1. Los datos son independientes entre \(i\), \(E(u|X)=0\) y \(E(uu'|X)=\Omega=Diag(\sigma_i^2)\) 1. \(X\) es de rango completo 1. La matriz \(M_{XX}=p\lim N^{-1}X'X=\lim\sum_iE(x_ix_i')\) existe y es finita y no singular 1. El vector \(N^{-1/2}X'u\xrightarrow{d}\mathcal{N}(0,M_{X\Omega X})\), donde \[M_{X\Omega X}=p\lim N^{-1}X'uu'X=\lim N^{-1}\sum_iE(u_i^2x_ix_i')\]

Entonces \(\hat{\beta}_{MCO}\) es consitente para \(\beta\) y la distribución limite de \(\sqrt{N}(\hat{\beta}_{MCO}-\beta)\) es

\[\sqrt{N}(\hat{\beta}_{MCO}-\beta)\xrightarrow{d}\mathcal{N}(0,M_{XX}^{-1}M_{X\Omega X}M_{XX}^{-1})\]

Distribución asintótica del estimador de MCO

Podemos expresar el resultado en términos de \(\hat{\beta}_{MCO}\) dividiendo por \(\sqrt{N}\) y sumando \(\beta\):

\[\hat{\beta}_{MCO} \stackrel{a}{\sim} \mathcal{N}(\beta,N^{-1}M_{XX}^{-1}M_{X\Omega X}M_{XX}^{-1})\]

La matriz \(V(\hat{\beta})=N^{-1}M_{XX}^{-1}M_{X\Omega X}M_{XX}^{-1}\) es la matriz de varianza asintótica

Eliminado los límites y las expectativas, una forma más compacta de escribir la distribución del estimador de MCO es

\[\hat{\beta}_{MCO} \stackrel{a}{\sim} \mathcal{N}(\beta,(X'X)^{-1}X'\Omega X (X'X)^{-1})\]

En la práctica, reemplazamos \(M_{XX}\) y \(M_{X\Omega X}\) por estimadores consistentes para obtener la matriz estimada de la varianza asintótica:

\[\hat{V}(\hat{\beta})=N^{-1}\hat{M}_{XX}^{-1}\hat{M}_{X\Omega X}\hat{M}_{XX}^{-1}\]

El estimador de sándwich

Frecuentemente nos toparemos con el estimador de la varianza de sándwich del tipo \(\hat{M}_{XX}^{-1}\hat{M}_{X\Omega X}\hat{M}_{XX}^{-1}\)

Un estimador para \(\hat{M}_{XX}\) es \(N^{-1}X'X\)

El estimador de \(\hat{M}_{M\Omega M}\) depende de lo que asumamos de los errores

En los primeros cursos de econometría se asumen errores homocedásticos tales que \(\Omega=\sigma^2I\), por lo que:

\[\hat{V}(\hat{\beta}_{MCO,iid})=\hat{s}^2(X'X)^{-1}\]

Pero si \(V(u_i|x_i)=E(u_i^2|x_i)=\sigma_i^2\), es decir, los errores varían con \(i\), White (1980) propone usar como estimador de la varianza a \(\hat{M}_{X\Omega X}=N^{-1}\sum_i \hat{u}_i^2x_ix_i'\), dando lugar a:

\[ \begin{aligned} \hat{V}(\hat{\beta}_{MCO,White}) &= (X'X)^{-1}X'\hat{\Omega}X(X'X)^{-1} \\ &= (X'X)^{-1} \sum_i \hat{u}^2_i x_i x_i' (X'X)^{-1} \end{aligned} \]

Ejemplos en R

Simulaciones Monte Carlo

En muchas ocasiones, las simulaciones nos serán útiles para mostrar resultados teóricos cuando trabajamos con datos

La idea es crear un proceso generador de datos en donde nosotros conocemos los parámetros poblacionales

En la práctica, regularmente trabajamos con muestras y no conocemos los parámetros poblacionales que dan origen a los datos que observamos

El propósito de las simulaciones Monte Carlo es evaluar el desempeño de los estimadores

Simulaciones Monte Carlo

Pensemos que queremos estimar el parámetro de la media \(\mu\) de una variable con distribución normal usando una muestra de tamaño \(n\): \(y_i=\mathcal{N}(\mu,\sigma^2)\)

Sabemos de nuestras clases de estadística que un estimador es la media muestral \(\bar{y}\)

También sabemos de nuestras clases de estadística que la media muestral tendrá la siguiente distribución:

\[\bar{y}=\mathcal{N}(\mu,\sigma^2/n)\]

Podemos usar simulaciones para mostrar que esto es cierto

Simulaciones en R

Generemos una muestra y calculemos su media

# Semilla para poder generar la misma secuencia 
set.seed(820)

# Obtenemos una muestra de tamaño 100 con media 10 y desviación estándar 2
sample <- rnorm(100,10,2)

# Veamos 10 de las observaciones
head(sample,10)
 [1] 11.679922 10.180688  8.030958  8.018253  7.965878  5.945978 10.727039
 [8]  6.837412  9.181732  9.916600
#¿Cuál es la media muestral?
mean(sample)
[1] 9.645554

¿Qué pasa si generamos otra muestra?

sample <- rnorm(100,10,2)
mean(sample)
[1] 10.2209

Simulaciones en R

Teóricamente, sabemos que la varianza de la media muestral debería ser \(2^2/100=0.04\)

Podemos repetir el proceso anterior muchas veces

set.seed(820)

# Un vector para guardar las medias calculadas. Haremos 1,000 cálculos

reps <- 1000
ymedias <- numeric(reps)

# En cada una de las 1000 repeticiones, obtendremos una muestra de tamaño 100

for (i in 1:reps){
 sample<- rnorm(100,10,2) 
 ymedias[i]<-mean(sample)
}

Simulaciones en R

Veamos la media y desviación estándar de las medias calculadas:

mean(ymedias)
[1] 10.0084
var(ymedias)
[1] 0.0413458

Simulaciones en R

Podemos hacer un histograma de la distribución de las medias estimadas

Le sobreponemos una curva normal con los parámetros teóricos de la distribución

ymedias <- data.frame(ymedias)

ymedias %>% 
  ggplot(aes(x=ymedias))+
  geom_histogram(aes(y=..density..))+
  stat_function(fun = dnorm, args = list(mean = 10, sd = sqrt(0.04)))

LGN y TLC en acción

Una LGN nos dice que la media muestral converge en probabilidad al parámetro poblacional \(\mu\) cuando \(n\to\infty\)

Una forma de verificar esto es haciendo las muestras arbitrariamente grandes

set.seed(820)
reps <- 1000

ymedias10 <- numeric(reps)
for (i in 1:reps){
  sample<- rnorm(10,10,2) 
  ymedias10[i]<-mean(sample)
}

ymedias50 <- numeric(reps)
for (i in 1:reps){
  sample<- rnorm(50,10,2) 
  ymedias50[i]<-mean(sample)
}

ymedias100 <- numeric(reps)
for (i in 1:reps){
  sample<- rnorm(100,10,2) 
  ymedias100[i]<-mean(sample)
}

ymedias1000 <- numeric(reps)
for (i in 1:reps){
  sample<- rnorm(1000,10,2) 
  ymedias1000[i]<-mean(sample)
}

ymedias_n <- data.frame(ymedias10, ymedias50, ymedias100, ymedias1000)


#Graficamos cada histograma con su curva teórica
g10 <- ymedias_n %>% 
  ggplot(aes(x=ymedias10)) + 
  geom_histogram(aes(y=..density..))+
  stat_function(fun = dnorm, args = list(mean = 10, sd = sqrt(4/10))) +
  xlim(8,12)
  
  

g50 <- ymedias_n %>% 
  ggplot(aes(x=ymedias50)) + 
  geom_histogram(aes(y=..density..))+
  stat_function(fun = dnorm, args = list(mean = 10, sd = sqrt(4/50)))+
  xlim(8,12)


g100 <- ymedias_n %>% 
  ggplot(aes(x=ymedias100)) + 
  geom_histogram(aes(y=..density..))+
  stat_function(fun = dnorm, args = list(mean = 10, sd = sqrt(4/100)))+
  xlim(8,12)


g1000 <- ymedias_n %>% 
  ggplot(aes(x=ymedias1000)) + 
  geom_histogram(aes(y=..density..))+
  stat_function(fun = dnorm, args = list(mean = 10, sd = sqrt(4/1000)))+
  xlim(8,12)


ggarrange(g10, g50, g100, g1000,
          labels = c("N=10", "N=50", "N=100", "N=1000"),
          ncol = 2, nrow = 2)

LGN y TLC en acción

En el ejemplo anterior, podrían pensar que la media muestral se distribuía de formal normal debido a que \(y_i\) se distribuía normal

Sin embargo, un TLC nos indica que la media muestral se distribuye normal cuando \(n\to\infty\), bajo algunas condiciones para la varianza de \(y_i\)

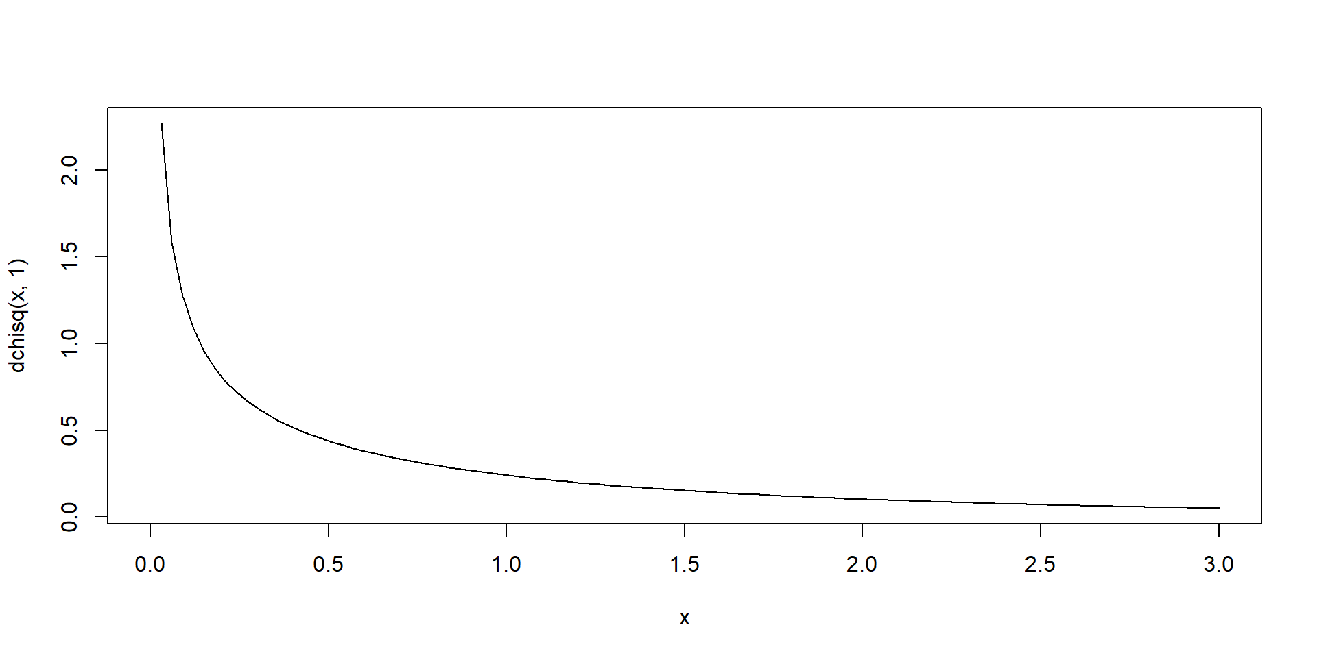
Usemos una distribución \(\chi^2\) con un grado de libertad:

set.seed(820)

sample <- rchisq(100,1)


curve(dchisq(x,1), 0,3)

LGN y TLC en acción

Ahora seguimos el procedimiento que usamos en el ejemplo con variables normales

Recordemos que para una \(\chi^2\) con \(\nu\) grados de libertad la media es \(\nu\) y la varianza es \(2\nu\)

Por tanto, el TLC nos dice que \(\bar{y}\sim\mathcal{N}(\nu,2\nu/N)\)

set.seed(820)
reps <- 1000

ymedias5 <- numeric(reps)
for (i in 1:reps){
  sample<-rchisq(5,1)
  ymedias5[i]<-mean(sample)
}

ymedias10 <- numeric(reps)
for (i in 1:reps){
  sample<- rchisq(10,1)
  ymedias10[i]<-mean(sample)
}

ymedias100 <- numeric(reps)
for (i in 1:reps){
  sample<- rchisq(100,1)
  ymedias100[i]<-mean(sample)
}

ymedias1000 <- numeric(reps)
for (i in 1:reps){
  sample<- rchisq(1000,1)
  ymedias1000[i]<-mean(sample)
}

ymedias_c <- data.frame(ymedias5, ymedias10, ymedias100, ymedias1000)

h5 <- ymedias_c %>% 
  ggplot(aes(x=ymedias5)) + 
  geom_histogram(aes(y=..density..))+
  stat_function(fun = dnorm, args = list(mean = 1, sd = sqrt(2/5))) +
  xlim(0,2)

h10 <- ymedias_c %>% 
  ggplot(aes(x=ymedias10)) + 
  geom_histogram(aes(y=..density..))+
  stat_function(fun = dnorm, args = list(mean = 1, sd = sqrt(2/10)))+
  xlim(0,2)

h100 <- ymedias_c %>% 
  ggplot(aes(x=ymedias100)) + 
  geom_histogram(aes(y=..density..))+
  stat_function(fun = dnorm, args = list(mean = 1, sd = sqrt(2/100)))+
  xlim(0,2)


h1000 <- ymedias_c %>% 
  ggplot(aes(x=ymedias1000)) + 
  geom_histogram(aes(y=..density..))+
  stat_function(fun = dnorm, args = list(mean = 1, sd = sqrt(2/1000)))+
  xlim(0,2)

ggarrange(h5, h10, h100, h1000,
          labels = c("N=5", "N=10", "N=100", "N=1000"),
          ncol = 2, nrow = 2)

LGN y TLC en acción

Retomemos ahora nuestra muestra simulada al inicio de la sesión

Nuestro proceso era

\[w_i=\alpha+\beta educ_i+e_i\]

con \(\alpha=150\), \(\beta=2\) y \(e_i\sim\mathcal{N}(0,64)\)

Simulemos una población suficientemente grande, \(N=100000\)

set.seed(1234)
educacion <-  rnorm(100000,10,3)
e <-  rnorm(100000,0,8)
b0 <- 150
b1 <- 2

salario <- b0 + b1 * educacion + e 
poblacion <- data.frame(salario, educacion)

LGN y TLC en acción

Ahora tomaremos muestras de esta población, repitiendo el procedimiento 1000 veces

En cada vez, estimaremos la regresión por MCO para obtener \(\hat{\alpha}\) y \(\hat{\beta}\)

Por ejemplo, comencemos con \(n=100\)

#Tomamos muestras de tamaño N y estimamos por MCO
#Hacemos este rep veces para cada tamaño

reps <- 1000

#Inicializamos una matriz para guardar resultados
estimadores_mco <- matrix(ncol = 2, nrow = reps)

#Hacemos reps veces el procedimiento
for (i in 1:reps){
  muestra <- poblacion[sample(1:100000, size=100), ]
  estimadores_mco[i, ] <- lm(salario ~ educacion, data = muestra)$coefficients
}

LGN y TLC en acción

Construyamos la densidad para \(\hat{\alpha}\) y \(\hat{\beta}\) (veremos con detalle qué es la densidad estimada más adelante)

estimadores_mco <- data.frame(estimadores_mco) 

estimadores_mco <- estimadores_mco%>% 
  rename(alpha=X1, beta=X2)


estimadores_mco %>% 
  ggplot(aes(x=alpha))+
  geom_density()+
  xlim(140,160)

estimadores_mco %>% 
  ggplot(aes(x=beta))+
  geom_density()+
  xlim(1,3)

LGN y TLC en acción

Ahora modificamos el programa que especificaba \(n=100\) para mostrar que \(\hat{\alpha}\) y \(\hat{\beta}\) tienen una masa que se concentra en su media cuando crece el tamaño de la muestra

Voy a hacer dos loops, uno para el tamaño de la muestra y otro para las repeticiones

reps <- 1000
tamano_muestra <- c(50, 100, 1000, 10000)

#Inicializamos una matrices para guardar resultados

coleccion_estimadores_mco <- matrix(ncol=3,nrow=1)
estimadores_mco <- matrix(ncol = 3, nrow = reps)

LGN y TLC en acción

Hago la simulación

#Dos loops
for (j in 1:length(tamano_muestra)){
  for (i in 1:reps){
    muestra <- poblacion[sample(1:100000, size=tamano_muestra[j]), ]
    
    estimadores_mco[i,1:2] <- lm(salario ~ educacion, data = muestra)$coefficients
    estimadores_mco[,3] <- tamano_muestra[j]
  }
  
#Vamos apilando los resultados en coleccion_estimadores_mco
  
coleccion_estimadores_mco <-
  rbind(coleccion_estimadores_mco, estimadores_mco)
  estimadores_mco <- matrix(ncol = 3, nrow = reps)
}

LGN y TLC en acción

Arreglamos el objeto

#Quito la primera fila, que son NAs
coleccion_estimadores_mco <- coleccion_estimadores_mco[-1,]

coleccion_estimadores_mco <- data.frame(coleccion_estimadores_mco) %>% 
  rename(alpha=X1,
         beta=X2,
         tamano=X3)

#Aquí veremos la funcionalidad de los factores
coleccion_estimadores_mco <- coleccion_estimadores_mco %>% 
  mutate(tamano=factor(tamano,
                       levels = c(50, 100, 1000, 10000),
                       labels = c("N=50", "N=100", "N=1,000", "N=10,000")))

LGN y TLC en acción

Para \(\alpha\)

coleccion_estimadores_mco %>% 
  ggplot(aes(x=alpha, color=tamano))+
  geom_density()+
  xlim(140,160) 

LGN y TLC en acción

Para \(\beta\)

coleccion_estimadores_mco %>% 
  ggplot(aes(x=beta, color=tamano))+
  geom_density()+
  xlim(1,3)